Để sử dụng toàn bộ tiện ích nâng cao của Hệ Thống Pháp Luật vui lòng lựa chọn và đăng ký gói cước.
| BỘ TÀI CHÍNH | CỘNG HÒA XÃ HỘI CHỦ NGHĨA VIỆT NAM |
| Số: 2746/BTC-ĐT | Hà Nội, ngày 27 tháng 3 năm 2023 |
Kính gửi: Thủ tướng Chính phủ.
Căn cứ Quyết định số 1513/QĐ-TTg ngày 03/12/2022 của Thủ tướng Chính phủ về việc giao kế hoạch vốn đầu tư nguồn ngân sách nhà nước năm 2023; thực hiện chế độ báo cáo theo quy định tại Luật Đầu tư công, Nghị định số 40/2020/NĐ-CP ngày 06/4/2020 của Chính phủ quy định chi tiết thi hành một số điều của Luật Đầu tư công, Bộ Tài chính báo cáo tình hình thanh toán vốn đầu tư nguồn NSNN lũy kế 02 tháng, ước thực hiện 03 tháng kế hoạch năm 2023 như sau:
I. Kế hoạch và tình hình phân bổ kế hoạch vốn:
1. Tổng nguồn vốn kế hoạch đầu tư công nguồn NSNN năm 2023 là 771.242,439 tỷ đồng (1) (vốn trong nước là 742.242,44 tỷ đồng, vốn nước ngoài là 29.000 tỷ đồng). Trong đó: Kế hoạch vốn đã giao là 758.355,251 tỷ đồng (vốn trong nước là 730.380,251 tỷ đồng, vốn nước ngoài là 27.975 tỷ đồng); kế hoạch vốn chưa giao là 12.887,188 tỷ đồng.
Cụ thể như sau:
1.1. Kế hoạch vốn các năm trước chuyển sang là 2.822,350 tỷ đồng (vốn trong nước).
1.2 Kế hoạch vốn đầu tư công nguồn NSNN năm 2023 là 768.420,089 tỷ đồng (vốn trong nước là 727.557,901 tỷ đồng, vốn nước ngoài là 27.975,000 tỷ đồng), trong đó:
1.2.1. Kế hoạch vốn đã được Quốc hội, Thủ tướng Chính phủ giao là 707.044,198 tỷ đồng(2) (bao gồm: vốn NSTW là 363.763,156 tỷ đồng, vốn NSĐP là 343.281,042 tỷ đồng), trong đó:
a) Vốn trong nước là 679.069,198 tỷ đồng. Trong đó:
- Các Bộ, cơ quan trung ương là 182.395,545 tỷ đồng;
- Các địa phương là 496.673,653 tỷ đồng; trong đó:
+ Vốn cân đối ngân sách địa phương là 343.281,042 tỷ đồng.
+ Vốn NSTW đầu tư theo ngành, lĩnh vực là 129.175,799 tỷ đồng.
+ Vốn Chương trình mục tiêu quốc gia (MTQG) là 24.216,812 tỷ đồng
b) Vốn nước ngoài là 27.975 tỷ đồng (trong đó: các Bộ, cơ quan trung ương là 11.858,314 tỷ đồng; các địa phương là 16.116,686 tỷ đồng).
1.2.2. Kế hoạch vốn NSTW chưa được Quốc hội, Thủ tướng Chính phủ giao là 12.887,188 tỷ đồng(3). Bao gồm:
- Vốn trong nước là 11.862,188 tỷ đồng; trong đó:
+ Vốn NSTW không kể CTMTQG là 11.679 tỷ đồng;
+ Vốn CTMTQG là 183,188 tỷ đồng.
- Vốn nước ngoài (CTMTQG xây dựng nông thôn mới) là 1.025 tỷ đồng.
1.2.3. Kế hoạch vốn cân đối ngân sách địa phương (NSĐP) năm 2023 các địa phương giao tăng so với kế hoạch Thủ tướng Chính phủ giao (theo số liệu cập nhật đến thời điểm báo cáo) là 48.488,703 tỷ đồng.
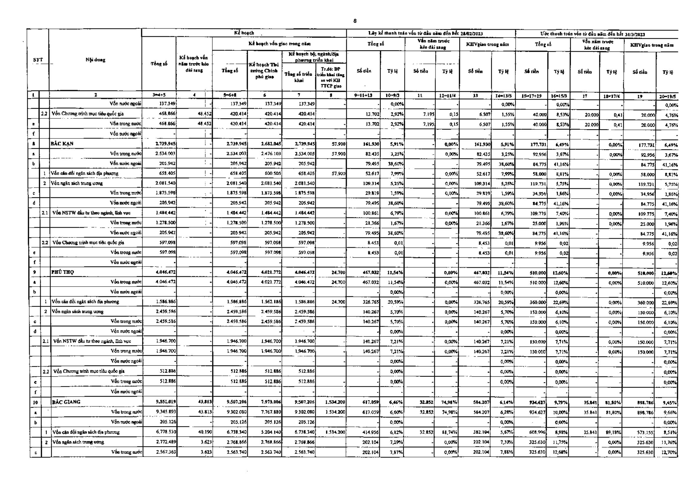
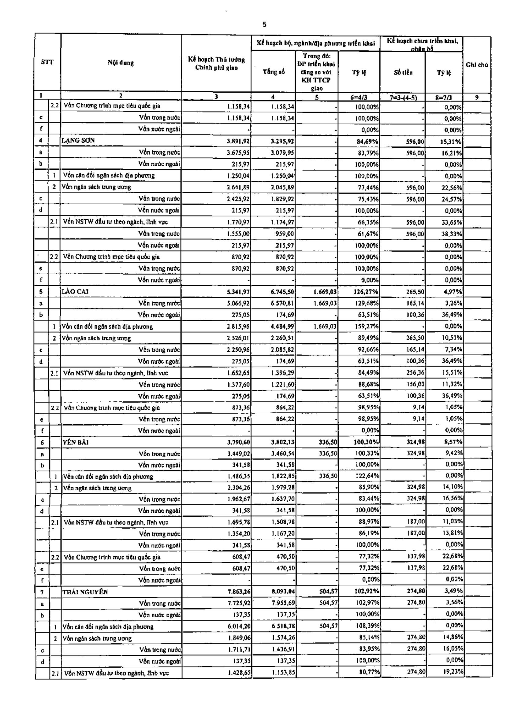
2. Tình hình triển khai phân bổ chi tiết kế hoạch vốn của các Bộ, cơ quan trung ương và địa phương (Chi tiết theo Phụ lục số 01 đính kèm)
Đến thời điểm báo cáo, Bộ Tài chính đã nhận được báo cáo phân bổ kế hoạch đầu tư vốn NSNN năm 2023 của 50/52 bộ, cơ quan trung ương và 63/63 tỉnh, thành phố trực thuộc trung ương (Chi tiết theo Phụ lục số 01 đính kèm). Còn lại 02 Bộ, cơ quan trung ương (gồm: Kiểm toán nhà nước, Tổng công ty thuốc lá) Bộ Tài chính chưa nhận được báo cáo phân bổ kế hoạch đầu tư vốn NSNN năm 2023
Trong số bộ, cơ quan trung ương và địa phương đã gửi báo cáo phân bổ kế hoạch vốn năm 2023, có 27/49 bộ, cơ quan trung ương và 46/63 tỉnh, thành phố trực thuộc trung ương chưa phân bổ hết kế hoạch vốn đã được Thủ tướng Chính phủ giao. Tình hình phân bổ cụ thể như sau:
2.1. Kế hoạch vốn đã triển khai phân bổ chi tiết:
Tổng số vốn đã phân bổ là 683.591,862 tỷ đồng, đạt 96,68% kế hoạch vốn Thủ tướng Chính phủ đã giao (707.044,198 tỷ đồng). Trong đó, các địa phương giao tăng so với số kế hoạch Thủ tướng Chính phủ giao là 48.488,703 tỷ đồng. (Nếu không tính số kế hoạch vốn cân đối NSĐP các địa phương giao tăng là 48.488,703 tỷ đồng, thì tổng số vốn đã phân bổ là 635.103,159 tỷ đồng, đạt 89,83% kế hoạch Thủ tướng Chính phủ đã giao).
Trong đó:
- Vốn NSTW là 329.434,535 tỷ đồng, đạt 90,56% kế hoạch vốn Quốc hội, Thủ tướng Chính phủ giao (363.763,156 tỷ đồng). Bao gồm:
+ Vốn trong nước là 282.327,975 tỷ đồng, đạt 90,61% kế hoạch (trong đó, vốn Chương trình MTQG là 20.539,938 tỷ đồng, chiếm 84,82% kế hoạch).
+ Vốn nước ngoài là 26.566,622 tỷ đồng, đạt 94,97% kế hoạch.
- Vốn cân đối NSĐP là 354.157,327 tỷ đồng, đạt 103,17% kế hoạch vốn Quốc hội, Thủ tướng Chính phủ giao (343.281,042 tỷ đồng).
2.2. Kế hoạch vốn chưa được triển khai phân bổ:
Tổng số vốn chưa phân bổ chi tiết là 71.941,039 tỷ đồng, chiếm 10,17% kế hoạch Thủ tướng Chính phủ giao, trong đó: vốn trong nước là 70.532,661 tỷ đồng (vốn NSTW là 34.328,621 tỷ đồng, vốn cân đối NSĐP là 37.612,418 tỷ đồng), vốn ngoài nước là 1.408,378 tỷ đồng.
Cụ thể như sau:
- Bộ, cơ quan trung ương: số vốn chưa phân bổ là 13.281,755 tỷ đồng, chiếm 6,84% kế hoạch Thủ tướng Chính phủ giao (vốn trong nước là 13.242,420 tỷ đồng, vốn nước ngoài là 39,335 tỷ đồng).
- Các địa phương: số vốn chưa phân bổ là 58.659,284 tỷ đồng, chiếm 11,44% kế hoạch Thủ tướng Chính phủ giao (vốn trong nước là 57.290,241 tỷ đồng, vốn nước ngoài là 1.369,043 tỷ đồng). Trong đó:
+ Vốn NSTW đầu tư theo ngành, lĩnh vực là 18.346,992 tỷ đồng, chiếm 12,63% kế hoạch Thủ tướng Chính phủ giao (trong đó, vốn trong nước là 16.977,949 tỷ đồng chiếm 13,14% kế hoạch, vốn nước ngoài là 1.369,043 tỷ đồng chiếm 8,49% kế hoạch).
+ Vốn Chương trình mục tiêu quốc gia (MTQG) là 3.676,874 tỷ đồng (vốn trong nước) chiếm 15,18% kế hoạch Thủ tướng Chính phủ giao;
+ Vốn cân đối NSĐP là 37.612,418 tỷ đồng, chiếm 10,96% kế hoạch Thủ tướng Chính phủ giao.
2.3. Nguyên nhân của việc chưa phân bổ hết kế hoạch vốn:
a) Đối với nguồn vốn ngân sách trung ương (không bao gồm vốn Chương trình MTQG):
Trong số bộ, cơ quan trung ương và địa phương đã gửi báo cáo phân bổ kế hoạch vốn năm 2023, có 27/49 bộ, cơ quan trung ương và 37/63 tỉnh, thành phố trực thuộc trung ương chưa phân bổ hết kế hoạch vốn ngân sách trung ương đã được Thủ tướng Chính phủ giao; trong đó, một số Bộ, cơ quan trung ương và địa phương có tỷ lệ vốn chưa phân bổ khá cao như: Bộ Thông tin và truyền thông (88,48%), Bộ Văn hóa, Thể thao và Du lịch (87,94%), Bộ Tài chính (86,58%), Bộ Kế hoạch và Đầu tư (85,88%), Tổng Liên đoàn lao động Việt Nam (86,21%), Hưng Yên (81,57%), Văn phòng Trung ương Đảng (80,2%), Bộ Y tế (79,02%); Tuyên Quang (76,64%), ...
(Chi tiết theo Phụ lục số 01A đính kèm).
Nguyên nhân:
- Vốn trong nước chưa phân bổ hết chủ yếu là các dự án thuộc Chương trình phục hồi và phát triển kinh tế xã hội chưa hoàn thiện thủ tục đầu tư nên chưa đủ điều kiện để giao chi tiết vốn năm 2023; một số dự án thuộc Chương trình mới được Thủ tướng Chính phủ giao chi tiết kế hoạch vốn (Quyết định số 202/QĐ-TTg ngày 08/3/2023) hiện nay đang được các Bộ, địa phương hoàn thiện các thủ tục để triển khai giao kế hoạch vốn năm 2023. Ngoài ra còn một số dự án của địa phương chưa hoàn thiện thủ tục đầu tư, thủ tục điều chỉnh dự án như cao tốc Cao Bằng - Lạng Sơn; Đường Vành đai 4 vùng thủ đô (Bắc Ninh, Hưng Yên); Kè đầm Cù Mông, tỉnh Phú Yên; cầu Văn Ly và đường dẫn, tỉnh Quảng Nam.
- Vốn nước ngoài chưa phân bổ hết do: chưa hoàn thành thủ tục ký hiệp định vay (Quảng Trị); chưa được ký thỏa thuận vay với nhà tài trợ, đang lấy ý kiến nhà tài trợ hoàn thiện thủ tục sử dụng vốn dư (Đắk Nông); địa phương đề nghị hoàn trả ngân sách trung ương do Tỉnh đánh giá khả năng không giải ngân hết (Quảng Ninh.
b) Đối với nguồn vốn cân đối ngân sách địa phương:
Có 38/63 địa phương giao kế hoạch vốn cân đối NSĐP tăng so với Thủ tướng Chính phủ giao từ nguồn thu sử dụng đất, nguồn tăng thu, nguồn xổ số kiến thiết của địa phương.
Tuy nhiên, bên cạnh đó vẫn còn 16/63 địa phương chưa phân bổ hết kế hoạch vốn cân đối ngân sách địa phương.
Nguyên nhân là do một số địa phương mới giao kế hoạch đợt 1, một số dự án chưa hoàn thiện thủ tục đầu tư, chưa phân bổ hết vốn đầu tư từ nguồn sử dụng đất, bội chi NSĐP
(Chi tiết theo Phụ lục số 01B đính kèm).
c) Đối với vốn kế hoạch Chương trình mục tiêu quốc gia
Đến thời điểm báo cáo, Bộ Tài chính đã nhận được báo cáo phân bổ kế hoạch vốn của 43/48 địa phương(4), trong đó, có 16/43 địa phương chưa phân bổ hết kế hoạch vốn.
Trong số các địa phương Bộ Tài chính nhận được báo cáo phân bổ:
+ Có 19/43 địa phương đã phân bổ vốn chi tiết đến danh mục dự án; tuy nhiên có 07 địa phương chưa phân bổ hết kế hoạch vốn gồm Lai Châu, Điện Biên, Thanh Hóa, Khánh Hòa, Đắk Lắk, Bến Tre, Sóc Trăng.
Nguyên nhân chưa phân bổ hết vốn: Dự án đang thực hiện lập, phê duyệt dự án nên chưa đủ điều kiện để phân bổ vốn (Lai Châu, Điện Biên, Thanh Hóa, Khánh Hòa, Đắk Lắk, Bến Tre, Sóc Trăng), chưa giao vốn của chương trình mục tiêu quốc gia phát triển kinh tế xã hội vùng đồng bào dân tộc thiểu số và miền núi, chương trình mục tiêu quốc gia xây dựng nông thôn mới (Thanh Hóa)
+ Có 24/43 địa phương mới phân bổ vốn cho các đơn vị trực thuộc; tuy nhiên có 09 địa phương chưa phân bổ hết kế hoạch vốn gồm: Lào Cai, Yên Bái, Thái Bình, Hà Tĩnh, Quảng Nam, Phú Yên, Gia Lai, Tây Ninh, An Giang).
Nguyên nhân chưa phân bổ hết vốn: Còn chương trình mục tiêu quốc gia phát triển kinh tế xã hội vùng đồng bào dân tộc thiểu số và miền núi chưa phân bổ vốn (Hà Tĩnh), chương trình mục tiêu quốc gia giảm nghèo bền vững chưa phân bổ vốn (Quảng Nam, Phú Yên, Tây Ninh), chưa đủ điều kiện để phân bổ vốn (Lào Cai, Thái Bình, Gia Lai, An Giang).
(Chi tiết theo Phụ lục số 01C đính kèm)
2.4. Một số tồn tại trong việc phân bổ kế hoạch vốn:
Qua công tác kiểm tra phân bổ vốn kế hoạch đầu tư công nguồn ngân sách nhà nước năm 2023 của các Bộ, cơ quan trung ương và địa phương theo quy định tại khoản 2 Điều 49 Luật Ngân sách Nhà nước và khoản 2 Điều 8 Nghị định số 99/2021/NĐ-CP ngày 11/11/2021 của Chính phủ quy định về quản lý, thanh toán, quyết toán dự án sử dụng vốn đầu tư công và có văn bản gửi các Bộ, cơ quan trung ương, địa phương về việc kiểm tra phân bổ kế hoạch đầu tư vốn NSNN năm 2023, đối với số vốn đã được các Bộ, cơ quan trung ương và địa phương phân bổ, qua rà soát của Bộ Tài chính vẫn còn một số tồn tại như sau:
- Phân bổ cho dự án khởi công mới chưa có quyết định đầu tư (Bộ Xây dựng; Trung ương Hội Nông dân Việt Nam); phân bổ vốn chuẩn bị đầu tư cho dự án chưa có dự toán chuẩn bị đầu tư được phê duyệt (Bộ Giao thông vận tải; Bộ Lao động, Thương binh và Xã hội);
- Phân bổ kế hoạch vốn chuẩn bị đầu tư cho dự án không được giao vốn cho nhiệm vụ chuẩn bị đầu tư trong kế hoạch đầu tư công trung hạn (Ban Quản lý, Làng Văn hóa các Dân tộc Việt Nam);
- Một số dự án bố trí vốn kế hoạch năm 2023 vượt kế hoạch trung hạn giai đoạn 2021-2025 đã được Thủ tướng Chính phủ giao (Bộ Lao động, Thương binh xã hội, Hậu Giang). Dự án bố trí vốn quá thời gian quy định (Hưng Yên, Hà Nội, Cần Thơ, Long An, Bạc Liêu, Hà Giang, Hải Phòng); dự án dự kiến hoàn thành năm 2023 tuy nhiên chưa bố trí đủ vốn NSTW theo tổng mức đầu tư được duyệt (Bộ Giao thông vận tải, Lai Châu, Đắk Nông, Cần Thơ); dự án đã bố trí hết kế hoạch đầu tư công trung hạn giai đoạn 2021-2025 nguồn ngân sách trung ương, có thời gian hoàn thành năm 2023 nhưng chưa được tỉnh bố trí vốn đối ứng theo tổng mức đầu tư được phê duyệt (tỉnh Long An);
- Phân bổ nguồn vốn Chương trình Phục hồi và phát triển kinh tế xã hội cho một số dự án không thuộc danh mục dự án sử dụng nguồn vốn Chương trình phục hồi và phát triển kinh tế xã hội; phân bổ cho một số dự án vượt quá mức vốn dự kiến bố trí từ nguồn vốn Chương trình phục hồi và phát triển kinh tế xã hội (Bộ Giao thông vận tải); giao vốn Chương trình phục hồi và phát triển kinh tế xã hội khi chưa được Thủ tướng Chính phủ giao (Thái Bình, Hà Giang).
Đối với các dự án đã được các Bộ, cơ quan trung ương phân bổ đúng quy định, Bộ Tài chính đã phê duyệt dự toán để kịp thời có vốn giải ngân cho các dự án. Đối với số vốn chưa đủ điều kiện phân bổ của các đơn vị, Bộ Tài chính đã có văn bản gửi từng Bộ, cơ quan trung ương và địa phương đề nghị điều chỉnh lại kế hoạch phân bổ chi tiết theo đúng quy định làm căn cứ để nhập dự toán và kiểm soát thanh toán cho các dự án
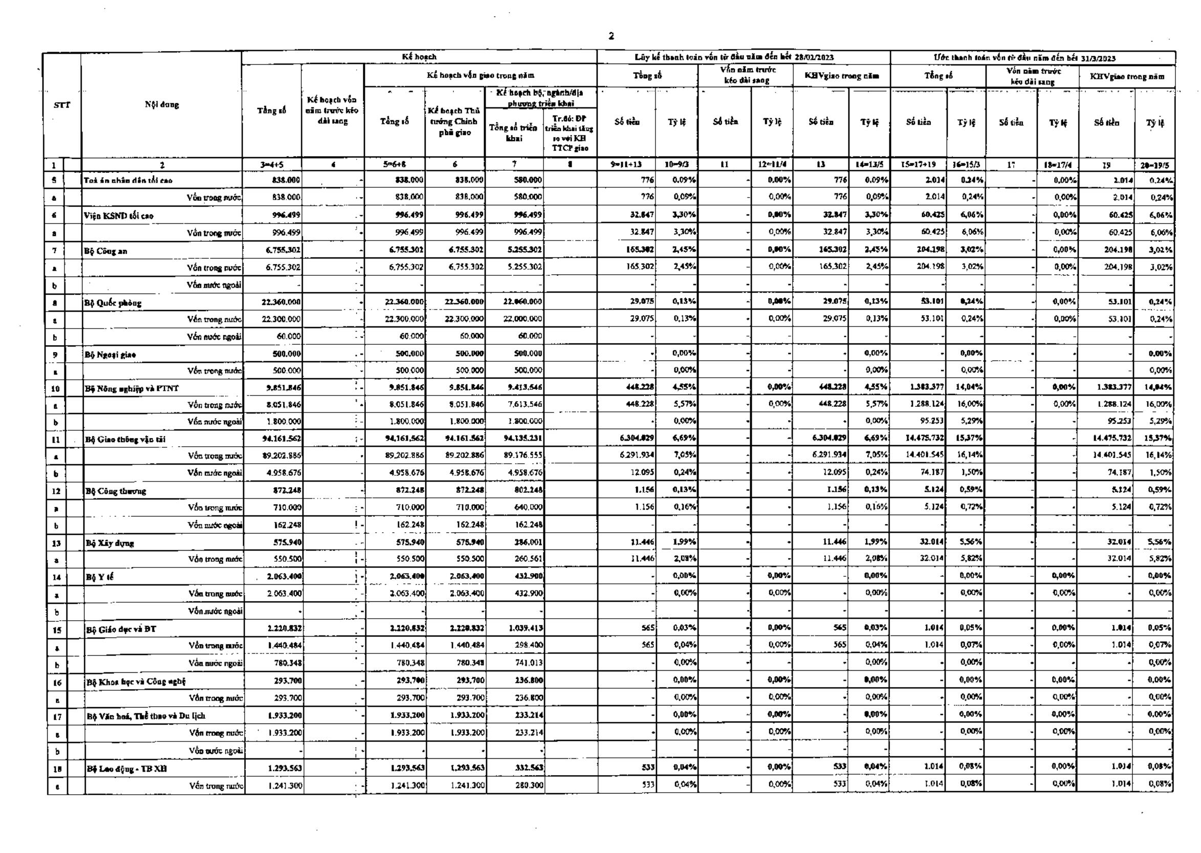
II. Tình hình giải ngân kế hoạch vốn
(Chi tiết theo Phụ lục số 02 đính kèm)
1. Về giải ngân tổng kế hoạch vốn năm 2023:
- Tổng kế hoạch là: 758.355,251 tỷ đồng, bao gồm: kế hoạch vốn kéo dài các năm trước sang năm 2023 là 2.822,350 tỷ đồng, kế hoạch vốn giao trong năm 2023 là 755.532,901 tỷ đồng.
- Lũy kế thanh toán từ đầu năm đến 28/02/2023 là 40.110,692 tỷ đồng, đạt 5,29% kế hoạch.
- Ước thanh toán từ đầu năm đến 31/3/2023 là 73.575,174 tỷ đồng, đạt 9,70% kế hoạch.
Cụ thể như sau:
Đơn vị tính: tỷ đồng
| STT | Nội dung | Tổng kế hoạch vốn (tại thời điểm BC) | Lũy kế thanh toán vốn đến hết 28/02/2023 | Ước thanh toán đến hết 31/3/2023 | ||
| Số tiền | Số tiền | Số tiền | Tỷ lệ | |||
| 1 | 2 | 3 | 4 | 5 | 6 | 7=6/3 |
|
| TỔNG SỐ (1+2) | 758.355,251 | 40.110,692 | 5,29% | 73.575,174 | 9,70% |
| 1 | Vốn trong nước | 730.380,251 | 39.900,074 | 5,46% | 72.614,331 | 9,94% |
| 2 | Vốn nước ngoài | 27.975,000 | 210,617 | 0,75% | 960,843 | 3,43% |
(Chi tiết theo Phụ lục số 02 đính kèm)
2. Về giải ngân vốn kế hoạch các năm trước kéo dài sang năm 2023:
2.1 Đối với vốn cân đối NSĐP và CTMTQG:
- Lũy kế thanh toán từ đầu năm đến 28/02/2023 là 114,034 tỷ đồng, đạt 4,04% kế hoạch (2.822,350 tỷ đồng).
- Ước thanh toán từ đầu năm đến 31/3/2023 là 383,082 tỷ đồng, đạt 13,57% kế hoạch.
2.2 Đối với vốn NSTW kế hoạch năm 2022 kéo dài sang năm 2023:
Hiện nay Bộ Kế hoạch và Đầu tư đang tổng hợp danh mục và mức vốn đề xuất kéo dài năm 2022 sang 2023 (công văn số 1211/BKHĐT-TH ngày 23/02/2023; Bộ Tài chính đã có ý kiến tham gia tại công văn số 2213/BTC-ĐT ngày 10/3/2023). Do vậy, chưa xác định được cụ thể vốn kế hoạch năm 2022 được cấp có thẩm quyền cho phép kéo dài thời gian thực hiện và thanh toán sang năm 2023.
3. Về giải ngân vốn kế hoạch năm 2023:
3.1. Lũy kế thanh toán từ đầu năm đến 28/02/2023.
Lũy kế thanh toán từ đầu năm đến 28/02/2023 là 39.996,658 tỷ đồng, đạt 5,29% kế hoạch (755.532,901 tỷ đồng(5)) và đạt 5,66% kế hoạch Thủ tướng Chính phủ giao (707.044,198 tỷ đồng) (cùng kỳ năm 2021 đạt 6,14% kế hoạch và đạt 6,61% kế hoạch Thủ tướng Chính phủ giao).
Trong đó:
+ Vốn trong nước là 39.786,040 tỷ đồng (đạt 5,47% kế hoạch giao là 727.557,901 tỷ đồng) (trong đó, vốn Chương trình MTQG là 654,331 tỷ đồng, đạt 2,70% kế hoạch).
+ Vốn nước ngoài là 210,617 tỷ đồng (đạt 0,75% kế hoạch giao là 34.800 tỷ đồng).
3.2. Ước thanh toán từ đầu năm đến 31/3/2023:
Ước thanh toán từ đầu năm đến 31/3/2023 là 73.192,092 tỷ đồng, đạt 9,69% kế hoạch (đạt 10,35% kế hoạch Thủ tướng Chính phủ giao) (cùng kỳ năm 2021 đạt 11,03% kế hoạch và đạt 11,88% kế hoạch Thủ tướng Chính phủ giao).
Trong đó:
+ Vốn trong nước là 72.231,249 tỷ đồng (đạt 9,93% kế hoạch và đạt 10,64% kế hoạch Thủ tướng Chính phủ giao)(trong đó, vốn Chương trình MTQG là 2.052,168 tỷ đồng, đạt 8,47% kế hoạch).
+ Vốn nước ngoài là 960,843 tỷ đồng (đạt 3,43% kế hoạch).
Cụ thể như sau:
Đơn vị: Tỷ đồng
| STT | Nội dung | Ước thanh toán đến 31/3/2023 | Tỷ lệ(%) thực hiện | Tỷ lệ (%) thực hiện (so với KH TTCP giao) | Cùng kỳ năm 2022 | ||
| Số tiền | Tỷ lệ (%) thực hiện | Tỷ lệ (%) thực hiện so với KH TTg giao | |||||
| (1) | (2) | (3) | (4) | (5) | (6) | (7) | (8) |
|
| TỔNG SỐ | 73.192,092 | 9,69% | 10,35% | 61.536,08 | 11,03% | 11,88% |
|
| VỐN TRONG NƯỚC | 72.231,249 | 9,93% | 10,64% | 61.192,76 | 11,70% | 12,66% |
|
| VỐN NƯỚC NGOÀI | 960,843 | 3,43% | 3,43% | 343,32 | 0,99% | 0,99% |
| A | VỐN NSĐP | 41.530,415 | 10,60% | 12,10% | 39.420,31 | 11,46% | 12,96% |
| B | VỐN NSTW | 31.661,677 | 8,70% | 8,70% | 22.115,77 | 10,33% | 10,33% |
| - | Vốn NSTW đầu tư theo ngành, lĩnh vực | 29.609,508 | 8,72% | 8,72% | 22.115,77 | 10,33% | 10,33% |
| + | Vốn trong nước | 28.648,666 | 9,19% | 9,19% | 21.772,45 | 12,15% | 12,15% |
| + | Vốn nước ngoài | 960,843 | 3,43% | 3,43% | 343,32 | 0,99% | 0,99% |
| - | Vốn Chương trình MTQG | 2.052,168 | 8,47% | 8,47% | - |
|
|
|
| Vốn trong nước | 2.052,168 | 8,47% | 8,47% | - |
|
|
|
| Vốn nước ngoài |
|
|
| - |
|
|
| I | BỘ, CƠ QUAN TW (1+2) (i+ii) | 16.757,549 | 8,63% | 8,63% | 12.292,72 | 11,12% | 11,12% |
| 1 | VỐN TRONG NƯỚC | 16.098,109 | 8,83% | 8,83% | 12.032,61 | 12,22% | 12,22% |
| 2 | VỐN NƯỚC NGOÀI | 659,440 | 5,56% | 5,56% | 260,11 | 2,15% | 2,15% |
| i | Vốn NSNN đầu tư theo ngành, lĩnh vực | 16.757,549 | 8,63% | 8,63% | 12.292,72 | 11,12% | 11,12% |
|
| Vốn trong nước | 16.098,109 | 8,83% | 8,83% | 12.032,61 | 12,22% | 12,22% |
|
| Vốn nước ngoài | 659,440 | 5,56% | 5,56% | 260,111 | 2,15% | 2,15% |
| ii | Vốn Chương trình MTQG | - |
|
| - |
|
|
|
| Vốn trong nước | - |
|
| - |
|
|
|
| Vốn nước ngoài | - |
|
| - |
|
|
| II | ĐỊA PHƯƠNG (1+2) (i+ii) | 56.434,543 | 10,05% | 11,01% | 49.243,36 | 11,01% | 12,08% |
| 1 | VỐN TRONG NƯỚC | 56.133,140 | 10,30% | 11,30% | 49.160,15 | 11,57% | 12,77% |
| 2 | VỐN NƯỚC NGOÀI | 301,402 | 1,87% | 1,87% | 83,21 | 0,37% | 0,37% |
| i | Vốn NSĐP | 41.530,415 | 10,60% | 12,10% | 39.420,31 | 11,46% | 12,96% |
| ii | Vốn NSTW bổ sung có mục tiêu cho ĐP | 14.904,127 | 8,79% | 8,79% | 9.823,05 | 9,50% | 9,50% |
|
| Vốn trong nước | 14.602,725 | 9,52% | 9,52% | 9.739,84 | 12,06% | 12,06% |
|
| Vốn nước ngoài | 301,402 | 1,87% | 1,87% | 83,21 | 0,37% | 0,37% |
| ii.1 | Vốn đầu tư theo ngành, lĩnh vực | 12.851,959 | 8,85% | 8,85% | 9.823,05 | 9,50% | 9,50% |
|
| Vốn trong nước | 12.550,557 | 9,72% | 9,72% | 9.739,84 | 12,06% | 12,06% |
|
| Vốn nước ngoài | 301,402 | 1,87% | 1,87% | 83,21 | 0,37% | 0,37% |
| ii.2 | Vốn Chương trình MTQG | 2.052,168 | 8,47% | 8,47% | - |
|
|
|
| Vốn trong nước | 2.052,168 | 8,47% | 8,47% | - |
|
|
|
| Vốn nước ngoài | - |
|
| - |
|
|
3. Nhận xét tình hình giải ngân kế hoạch vốn
(Danh sách các Bộ, cơ quan trung ương và địa phương xếp theo thứ tự tỷ lệ giải ngân từ thấp đến cao theo Phụ lục số 02A, Phụ lục số 02B đính kèm).
- Tỷ lệ ước giải ngân 03 tháng kế hoạch năm 2023 đạt 9,69% kế hoạch. Nếu so với kế hoạch Thủ tướng Chính phủ giao, thì tỷ lệ giải ngân đạt 10,35%, thấp hơn so với cùng kỳ năm 2022 (11,88%); trong đó vốn trong nước đạt 10,64% (cùng kỳ năm 2022 đạt 12,66%), vốn nước ngoài đạt 3,43% (cùng kỳ năm 2022 đạt 0,99%).
- Có 02 Bộ và 15 địa phương có tỷ lệ giải ngân đạt trên 15%. Một số Bộ, địa phương có tỷ lệ giải ngân đạt cao gồm: Tiền Giang (31,1%), Bến Tre (30,05%), Điện Biên (24,67%), Đồng Tháp (22,93%), Lâm Đồng (20,78%).
- Có 49/52 Bộ và 24/63 địa phương có tỷ lệ giải ngân đạt dưới 9%, trong đó có 30 Bộ chưa giải ngân kế hoạch vốn.
4. Nguyên nhân chậm giải ngân kế hoạch vốn đầu tư công
Theo báo cáo của các Bộ, cơ quan trung ương và địa phương, tỷ lệ giải ngân ước 3 tháng đầu năm chưa cao là do hiện nay các Bộ, ngành và địa phương mới giao xong chi tiết kế hoạch vốn cho các dự án nên đang hoàn thiện thủ tục nghiệm thu khối lượng hoàn thành để thanh toán và đang tập trung thực hiện công tác đấu thầu và lựa chọn nhà thầu; nhiều dự án vướng mắc trong công tác giải phóng mặt bằng. Một số dự án trọng điểm ngành giao thông vận tải khó khăn về nguồn cung cấp vật liệu, ảnh hưởng tiến độ, khối lượng nghiệm thu giải ngân vốn.
- Đối với vốn nước ngoài: dự án chưa tháo gỡ được khó khăn trong công tác lựa chọn đơn vị tư vấn thẩm định giá thiết bị để làm cơ sở xác định giá gói thầu nên chưa đủ điều kiện thực hiện và giải ngân (Bộ Công thương).
III. TÌNH HÌNH THỰC HIỆN CÁC DỰ ÁN TRỌNG ĐIỂM
1. Dự án thu hồi đất, bồi thường, hỗ trợ, tái định cư Cảng hàng không quốc tế Long Thành
Theo Quyết định số 1487/QĐ-TTg ngày 06/11/2018 của Thủ tướng Chính phủ, Dự án thu hồi đất, bồi thường, hỗ trợ, tái định cư Cảng hàng không quốc tế Long Thành có tổng mức đầu tư là 22.856 tỷ đồng, tổng lũy kế vốn đã bố trí đến năm 2021 là 22.855,035 tỷ đồng, cụ thể: năm 2018 là 4.500 tỷ đồng, năm 2019 là 6.990 tỷ đồng, năm 2020 là 6.705,035 tỷ đồng, năm 2021 là 4.660 tỷ đồng.
Theo báo cáo của Kho bạc Nhà nước, lũy kế vốn thanh toán đến ngày 31/12/2022 là 16.697,647 tỷ đồng/22.855,035 tỷ đồng (đạt 73,06% kế hoạch được giao). Đến nay, dự án đã hết thời gian thực hiện và thanh toán.
2. Dự án cao tốc Bắc - Nam phía Đông
2.1. Dự án cao tốc Bắc - Nam phía Đông giai đoạn 2017 - 2020
- Tình hình thực hiện Dự án: Theo báo cáo của Bộ Giao thông vận tải đến ngày 20/02/2023, công tác GPMB đã cơ bản hoàn thành, chỉ còn một số công trình hạ tầng kỹ thuật đang di dời. Về thi công xây dựng, tổng giá trị khối lượng xây lắp hoàn thành đến ngày 17/02/2023 đạt khoảng 37.927,98/57,818,39 tỷ đồng, tương đương 65,6% giá trị hợp đồng. Trong đó: (i) 03 dự án kế hoạch hoàn thành ngày 30/4/2023 sản lượng trung bình đạt 79,7% giá trị hợp đồng; (ii) 04 dự án hoàn thành quý III và quý IV năm 2023 sản lượng trung bình đạt 66,3% giá trị hợp đồng; (iii) 02 dự án hoàn thành năm 2024 sản lượng trung bình đạt 33,1% giá trị hợp đồng.
- Tình hình bố trí kế hoạch và giải ngân vốn đầu tư công:
+ Kế hoạch vốn: Tổng nguồn vốn ngân sách nhà nước tham gia thực hiện Dự án là 78.461 tỷ đồng. Đến nay, đã bố trí cho Dự án trong kế hoạch hàng năm là 66.425,3 tỷ đồng, trong đó kế hoạch năm 2023 là 17.889,099 tỷ đồng. Số kế hoạch vốn trung hạn giai đoạn 2021-2025 còn lại chưa giao kế hoạch năm cho Dự án là 12.044,603 tỷ đồng.
+ Về giải ngân: Theo báo cáo của Kho bạc Nhà nước, lũy kế số vốn NSNN giải ngân đến ngày 21/3/2023 là 48.897,2 tỷ đồng, đạt 73,6% tổng kế hoạch được giao; trong đó thuộc kế hoạch năm 2023 là 1.420,8 tỷ đồng, đạt 7,9% kế hoạch năm 2023 được giao. Ước giải ngân đến 31/3/2023 là 49.144,2 tỷ đồng, đạt 74% tổng kế hoạch được giao; trong đó thuộc kế hoạch năm 2023 là 1.667 tỷ đồng, đạt 9,3% kế hoạch năm 2023 được giao.
2.2. Dự án cao tốc Bắc - Nam phía Đông giai đoạn 2021 - 2025
- Tình hình thực hiện:
Bộ GTVT đã phê duyệt đầu tư 12 dự án thành phần vào ngày 13/7/2022, trong đó giao cho các Ban QLDA thuộc bộ làm chủ đầu tư và bàn giao toàn bộ các mốc GPMB cho địa phương vào ngày 30/6/2022 để triển khai thực hiện. Theo báo cáo của Bộ GTVT, đối với công tác xây lắp, toàn bộ 12 dự thành phần thuộc Dự án được chia thành 25 gói thầu để thực hiện chỉ định thầu theo quy định. Ngày 01/01/2023 đã đồng loạt khởi công mới 12 gói thầu xây lắp của 12 dự án thành phần.
Về công tác GPMB, các địa phương đã bàn giao GPMB được 559,5/721,3 km đạt 77,5% đủ điều kiện để các nhà thầu tổ chức thi công và đang tiếp tục thực hiện để bảo đảm bàn giao 100% diện tích mặt bằng vào quý II năm 2023. Đồng thời, đang lập phương án di dời hạ tầng kỹ thuật, trình các cơ quan có thẩm quyền phê duyệt và cam kết di dời trong quý II năm 2023.
- Tình hình bố trí kế hoạch và giải ngân vốn đầu tư công:
+ Về kế hoạch:
Tổng Kế hoạch vốn giai đoạn 2021-2025 đã giao cho Dự án là 119.644,586 tỷ đồng. Trong đó: (i) Từ nguồn Kế hoạch đầu tư công trung hạn giai đoạn 2021-2025 là 47.168,586 tỷ đồng; (ii) Từ nguồn Chương trình phục hồi và phát triển kinh tế - xã hội: 72.476 tỷ đồng. Số vốn trên hiện đã được Bộ Giao thông vận tải phân bổ chi tiết kế hoạch đầu tư công trung hạn 2021-2025 cho từng dự án thành phần.
Tổng số vốn giao trong kế hoạch hàng năm là 54.747,4 tỷ đồng, trong đó kế hoạch năm 2022 là 9.521,3 và năm 2023 là 45.226,1 tỷ đồng.
+ Về giải ngân: Tổng số vốn đã giải ngân đến hết ngày 21/3/2023 là 15.788,3 tỷ đồng, đạt 28,8% tổng kế hoạch vốn hàng năm đã giao, trong đó thuộc kế hoạch năm 2023 là 6.645,6 tỷ đồng, đạt 14,7% kế hoạch năm 2023. Ước giải ngân đến hết ngày 31/3/2023 là 19.859,3 tỷ đồng, đạt 36,3% tổng kế hoạch vốn hàng năm đã giao, trong đó thuộc kế hoạch năm 2023 là 10.716 tỷ đồng, đạt 36,3% kế hoạch năm 2023.
3. Đối với 03 dự án đầu tư xây dựng đường cao tốc: Khánh Hòa - Buôn Ma Thuột; Biên Hòa - Vũng Tàu; Châu Đốc - Cần Thơ - Sóc Trăng
- Theo báo cáo của Bộ Giao thông vận tải, đến thời điểm này, Bộ Giao thông vận tải và các địa phương được phân cấp là cơ quan chủ quản đã phê duyệt đầu tư 08/10 dự án thành phần của 03 dự án. Hiện chỉ còn 02 dự án thành phần thuộc dự án đầu tư xây dựng đường cao tốc Khánh Hòa - Buôn Ma Thuột Ba phân cấp cho UBND tỉnh Khánh Hòa và Đắk Lắk chưa phê duyệt đầu tư dự án.
- Về nguồn vốn cho các dự án:
Đến thời điểm này, các dự án thành phần đã được giao kế hoạch vốn từ nguồn Chương trình Phục hồi và phát triển kinh tế xã hội (Quyết định số 202/QĐ-TTg ngày 08/3/2023 của Thủ tướng Chính phủ). Đối với nguồn vốn từ Kế hoạch đầu tư công trung hạn giai đoạn 2021-2025, trên cơ sở ý kiến Thành viên Chính phủ, Bộ Kế hoạch và Đầu tư đang hoàn thiện để trình Ủy ban Thường vụ Quốc hội phương án dự kiến giao, điều chỉnh, bổ sung cho từng cơ quan chủ quản để thực hiện từng dự án thành phần.
Đối với nguồn vốn từ nguồn tăng thu NSTW năm 2021: Bộ Tài chính đã có văn bản gửi Bộ Giao thông vận tải (văn bản số 1240/BTC-ĐT ngày 10/02/2023) đề nghị Bộ Giao thông vận tải phối hợp với các địa phương được phân cấp làm cơ quan chủ quản báo cáo về Bộ Tài chính trước ngày 10/02/2023 nhu cầu bố trí cho từng dự án thành phần trong kế hoạch năm 2022. Trong trường hợp năm 2022 các dự án không có khả năng giải ngân hết nguồn vốn này, đề nghị Bộ Giao thông vận tải đề xuất hướng xử lý để Bộ Tài chính báo cáo cấp có thẩm quyền xem xét, quyết định. Đến thời điểm này, Bộ Tài chính vẫn chưa nhận được báo cáo của Bộ Giao thông vận tải về nội dung nêu trên.
IV. Về tình hình thực hiện chế độ báo cáo
- Tại Thông tư số 15/2021/TT-BTC của Bộ Tài chính quy định về chế độ và biểu Mẫu báo cáo tình hình thực hiện, thanh toán vốn đầu tư công (có hiệu lực thi hành từ ngày 05/4/2021), trong đó quy định: “Trước ngày 15 của tháng báo cáo, các bộ, cơ quan trung ương, Ủy ban nhân dân cấp tỉnh báo cáo tình hình thực hiện và thanh toán vốn đầu tư công hằng tháng theo Mẫu số 01/TTKHN và các biểu Mẫu kèm theo Thông tư này gửi Bộ Tài chính”.
- Đến thời điểm báo cáo, Bộ Tài chính mới nhận được báo cáo định kỳ tình hình giải ngân tháng 3/2023 của 10/52 Bộ, cơ quan trung ương (Bộ Tài nguyên và Môi trường; Viện Hàn lâm KHCN Việt Nam; Bộ Công an; Đài Tiếng nói Việt Nam; Bộ Tài chính; Liên minh Hợp tác xã Việt Nam; Hội Nhà báo Việt Nam; Bộ Công thương; Đài Truyền hình Việt Nam; Bộ Ngoại giao) và 55/63 địa phương (còn lại 08 địa phương Bộ Tài chính chưa nhận được báo cáo gồm: Cao Bằng, Hải Dương, Hưng Yên, Đà Nẵng, Bình Thuận, TP Hồ Chí Minh, Trà Vinh, Cà Mau).
V. Kiến nghị của Bộ Tài chính.
1. Đối với Bộ Kế hoạch và Đầu tư:
Sớm trình Thủ tướng Chính phủ quyết định cho phép dài thời gian thực hiện và thanh toán vốn đầu tư công nguồn NSNN năm 2022 sang năm 2023 cho các Bộ, cơ quan trung ương và địa phương triển khai thực hiện ngay từ những tháng đầu năm.
2. Đối với các bộ, cơ quan trung ương và địa phương:
- Khẩn trương phân bổ chi tiết toàn bộ kế hoạch đầu tư vốn NSNN (Bao gồm CTMTQG) năm 2023 đã được Thủ tướng Chính phủ giao theo đúng quy định;
- Quyết liệt triển khai các giải pháp để đẩy nhanh công tác hoàn thiện thủ tục đầu tư, thủ tục lựa chọn nhà thầu, triển khai thực hiện các dự án theo chỉ đạo của Chính phủ tại Nghị quyết số 31/NQ-CP ngày 7/3/2023 về Phiên họp Chính phủ thường kỳ tháng 02 năm 2023 và công điện số 123/CĐ-TTG ngày 10/3/2023 của Thủ tướng Chính phủ về việc khẩn trương phân bổ chi tiết kế hoạch đầu tư công vốn NSNN năm 2023.
- Có các giải pháp tháo gỡ đảm bảo đủ nguồn cung cấp vật liệu phục vụ cho các công trình dự án giao thông trọng điểm.
- Thực hiện các nhiệm vụ, giải pháp tại Chỉ thị số 03/CT-TTg ngày 27/01/2023 của Thủ tướng Chính phủ về việc đôn đốc thực hiện nhiệm vụ trọng tâm sau kỳ nghỉ Tết nguyên đán Quý Mão 2023 và công văn số 03/BTC-ĐT ngày 3/01/2023 của Bộ Tài chính về việc đôn đốc phân bổ, nhập dự toán Tabmis và giải ngân kế hoạch vốn đầu tư công nguồn NSNN năm 2023 của các bộ, cơ quan trung ương và địa phương.
Bộ Tài chính báo cáo Thủ tướng Chính phủ./.
|
| KT. BỘ TRƯỞNG |
(1) Không bao gồm 6.753 tỷ đồng dự toán chi đầu tư phát triển (đã giao tại Nghị quyết số 70/2022/QH15 ngày 18/11/2022 về phân bổ ngân sách trung ương năm 2023) hỗ trợ cho Ngân hàng Nông nghiệp và Phát triển nông thôn Việt Nam thực hiện các nhiệm vụ Nhà nước giao
(2) Quyết định số 1513/QĐ-TTg ngày 03/12/2022 của Thủ tướng Chính phủ.
(3) Theo Nghị quyết số 70/2022/QH15 ngày 18/11/2022 về phân bổ ngân sách trung ương năm 2023
(4) Các địa phương Bộ Tài chính chưa nhận được báo cáo cáo phân bổ kế hoạch vốn Chương trình MTQG gồm: Bình Định, Bình Thuận, Đồng Tháp, Kiên Giang, Bạc Liêu.
(5) Bao gồm kế hoạch Thủ tướng Chính phủ đã giao là 707.044,198 tỷ đồng và kế hoạch vốn cân đối ngân sách địa phương triển khai tăng so với kế hoạch Thủ tướng Chính phủ giao là 48.488,703 tỷ đồng.
- 1Công văn 13895/BTC-ĐT về tình hình thanh toán vốn đầu tư nguồn ngân sách nhà nước lũy kế 11 tháng, ước thực hiện 12 tháng kế hoạch năm 2022 do Bộ Tài chính ban hành
- 2Công văn 845/BTC-ĐT về tình hình thanh toán vốn đầu tư nguồn ngân sách nhà nước lũy kế 12 tháng, ước thực hiện 13 tháng kế hoạch năm 2022 và tình hình thanh toán vốn đầu tư nguồn ngân sách nhà nước ước 01 tháng kế hoạch năm 2023 do Bộ Tài chính ban hành
- 3Công văn 2000/BTC-ĐT về tình hình thanh toán vốn đầu tư nguồn ngân sách nhà nước lũy kế 01 tháng, ước thực hiện 02 tháng kế hoạch năm 2023 do Bộ Tài chính ban hành
- 4Công văn 4315/BTC-ĐT về tình hình thanh toán vốn đầu tư nguồn ngân sách nhà nước lũy kế 3 tháng, ước thực hiện 4 tháng kế hoạch năm 2023 do Bộ Tài chính ban hành
- 5Công văn 5646/BTC-ĐT về tình hình thanh toán vốn đầu tư nguồn ngân sách nhà nước lũy kế 4 tháng, ước thực hiện 5 tháng kế hoạch năm 2023 do Bộ Tài chính ban hành
- 6Công văn 6866/BTC-ĐT về tình hình thanh toán vốn đầu tư nguồn ngân sách nhà nước lũy kế 5 tháng, ước thực hiện 6 tháng kế hoạch năm 2023 của Bộ Tài Chính
- 7Công văn 14447/BTC-ĐT tình hình thanh toán vốn đầu tư nguồn ngân sách nhà nước lũy kế 11 tháng, ước thực hiện 12 tháng kế hoạch năm 2023 do Bộ Tài chính ban hành
- 1Luật ngân sách nhà nước 2015
- 2Luật Đầu tư công 2019
- 3Quyết định 1487/QĐ-TTg năm 2018 về phê duyệt Báo cáo nghiên cứu khả thi Dự án thu hồi đất, bồi thường, hỗ trợ, tái định cư Cảng hàng không quốc tế Long Thành do Thủ tướng Chính phủ ban hành
- 4Nghị định 40/2020/NĐ-CP hướng dẫn Luật Đầu tư công
- 5Thông tư 15/2021/TT-BTC quy định về chế độ và biểu mẫu báo cáo tình hình thực hiện, thanh toán vốn đầu tư công do Bộ Tài chính ban hành
- 6Nghị định 99/2021/NĐ-CP quy định về quản lý, thanh toán, quyết toán dự án sử dụng vốn đầu tư công
- 7Nghị quyết 70/2022/QH15 về phân bổ ngân sách trung ương năm 2023 do Quốc hội ban hành
- 8Quyết định 1513/QĐ-TTg năm 2022 về giao kế hoạch đầu tư vốn ngân sách nhà nước năm 2023 do Thủ tướng Chính phủ ban hành
- 9Công văn 13895/BTC-ĐT về tình hình thanh toán vốn đầu tư nguồn ngân sách nhà nước lũy kế 11 tháng, ước thực hiện 12 tháng kế hoạch năm 2022 do Bộ Tài chính ban hành
- 10Chỉ thị 03/CT-TTg về đôn đốc thực hiện nhiệm vụ trọng tâm sau kỳ nghỉ Tết nguyên đán Quý Mão 2023 do Thủ tướng Chính phủ ban hành
- 11Công văn 03/BTC-ĐT về đôn đốc phân bổ, nhập dự toán Tabmis và giải ngân kế hoạch vốn đầu tư công nguồn ngân sách nhà nước năm 2023 của các bộ, cơ quan trung ương và địa phương do Bộ Tài chính ban hành
- 12Công văn 845/BTC-ĐT về tình hình thanh toán vốn đầu tư nguồn ngân sách nhà nước lũy kế 12 tháng, ước thực hiện 13 tháng kế hoạch năm 2022 và tình hình thanh toán vốn đầu tư nguồn ngân sách nhà nước ước 01 tháng kế hoạch năm 2023 do Bộ Tài chính ban hành
- 13Công văn 2000/BTC-ĐT về tình hình thanh toán vốn đầu tư nguồn ngân sách nhà nước lũy kế 01 tháng, ước thực hiện 02 tháng kế hoạch năm 2023 do Bộ Tài chính ban hành
- 14Nghị quyết 31/NQ-CP về phiên họp Chính phủ thường kỳ tháng 2 năm 2023
- 15Quyết định 202/QĐ-TTg năm 2023 về giao kế hoạch đầu tư vốn ngân sách trung ương của Chương trình phục hồi và phát triển kinh tế - xã hội do Thủ tướng Chính phủ ban hành
- 16Công điện 123/CĐ-TTg về khẩn trương phân bổ chi tiết kế hoạch đầu tư công vốn ngân sách Nhà nước năm 2023 do Thủ tướng Chính phủ điện
- 17Công văn 4315/BTC-ĐT về tình hình thanh toán vốn đầu tư nguồn ngân sách nhà nước lũy kế 3 tháng, ước thực hiện 4 tháng kế hoạch năm 2023 do Bộ Tài chính ban hành
- 18Công văn 5646/BTC-ĐT về tình hình thanh toán vốn đầu tư nguồn ngân sách nhà nước lũy kế 4 tháng, ước thực hiện 5 tháng kế hoạch năm 2023 do Bộ Tài chính ban hành
- 19Công văn 6866/BTC-ĐT về tình hình thanh toán vốn đầu tư nguồn ngân sách nhà nước lũy kế 5 tháng, ước thực hiện 6 tháng kế hoạch năm 2023 của Bộ Tài Chính
- 20Công văn 14447/BTC-ĐT tình hình thanh toán vốn đầu tư nguồn ngân sách nhà nước lũy kế 11 tháng, ước thực hiện 12 tháng kế hoạch năm 2023 do Bộ Tài chính ban hành
Công văn 2746/BTC-ĐT về tình hình thanh toán vốn đầu tư nguồn ngân sách nhà nước lũy kế 02 tháng, ước thực hiện 03 tháng kế hoạch năm 2023 do Bộ Tài chính ban hành
- Số hiệu: 2746/BTC-ĐT
- Loại văn bản: Công văn
- Ngày ban hành: 27/03/2023
- Nơi ban hành: Bộ Tài chính
- Người ký: Võ Thành Hưng
- Ngày công báo: Đang cập nhật
- Số công báo: Đang cập nhật
- Ngày hiệu lực: 27/03/2023
- Tình trạng hiệu lực: Kiểm tra

